国网四川省电力公司2022年招聘公告(第一批)
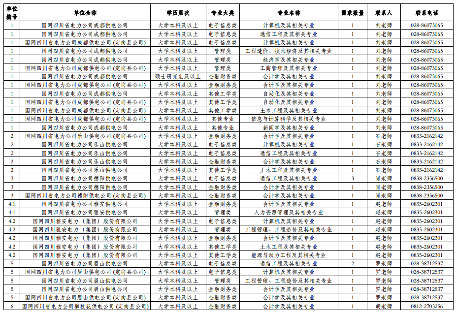
根据安排,现将国网四川省电力公司2022年第一批高校毕业生招聘工作相关事宜告知如下:国网四川省电力公司是国家电网有限公司在川设立的全资子公司,是四川境内最主要的电网建设、运营和电力供应企业。公司现有本部职能部门26个,全资二级单位40个、控股单位4个、省合资公司3家、上市公司3家,管辖县供电企业152家,全口径用工人数9.14万人;供电面积44.96万平方公里,占四川国土面积的92.02%;供电人口7958.6万人,占四川全省人口的95.03%。预计到2030年,四川电网将建成超特高压交直流混联网架,形成连接华东、华中、西北、重庆、西藏的全国最大枢纽电网。具有中华人民共和国国籍,拥护中华人民共和国宪法,拥护中国共产党领导和社会主义制度。思想品德良好,遵守国家法律法规和社会公德,热爱电力事业,认同国家电网有限公司企业文化。无违法犯罪和严重违反校纪校规记录。2022年国内普通高校应届全日制毕业生、应届非全日制毕业研究生、国(境)外应届留学生。一般要求大学本科及以上学历;艰苦偏远地区单位根据招聘计划和生源情况,招聘电工类专科应届全日制毕业生。(1)国内应届毕业生应于2022年7月31日前取得相应的学历学位证书;(2)应聘的应届非全日制研究生应列入国家统一招生计划,不属于定向和委托培养,就读最高学历期间未与任何单位存在劳动(录用、聘用)关系,应于2022年7月31日前取得相应的学历学位证书;(3)国(境)外应届留学生应于2021年7月1日至2022年6月30日期间取得相应的学历学位证书,并于2022年7月31日前获得教育部学历学位认证。本批次主要招聘电工类专业(电气工程、电力系统及其自动化、继电保护、高电压、供用电技术等)、电子信息类专业(通信工程、计算机等)、财务类专业(会计学、财务管理等)、管理类专业(人力资源、工程造价等)、其他工学类专业(土木工程等)、其他专业(新闻、法律等)高校毕业生。招聘专业均指主修专业,且与学籍在线验证报告中的专业一致,不包含辅修专业及第二学位专业。身心健康,体检合格(体检以国家《公务员录用体检通用标准(试行)》为基本标准),符合电力企业岗位工作要求。同时,患有以下疾病者,不符合公司招聘岗位要求:(1)色盲、色弱、双眼矫正视力低于1.0;(2)双耳听力障碍;(3)四肢功能残疾;(4)有恐高症或严重心血管疾病等,不适合电力登高作业生产;(5)其它有影响录用的疾病或者病史。专科生一般不超过23岁,本科生一般不超过25周岁,硕士研究生一般不超过28周岁,博士研究生一般不超过33周岁。年龄计算的截止时间为2022年6月30日。条件特别优秀的可适当放宽。对取得大学英语六级、计算机二级及以上、有体育或文艺特长的毕业生可优先。电工类专业需求约300人,大学专科本批次主要是艰苦边远地区招聘;非电专业需求信息详见“附件1”。具体请应聘毕业生咨询各用人单位,各用人单位联系方式详见“附件2”。我们将根据招聘具体情况(如上级单位核定情况、应聘人数、生源质量、考核成绩等因素),适度调剂调整相关用人单位的招聘专业、数量及条件,最终招聘情况以上级单位核定为准。存在疑问或歧义的地方统一以国网四川省电力公司人力资源部解释为准。欢迎大家踊跃报名应聘。各位应聘毕业生报名前,请认真阅读公告要求,建议咨询各用人单位后,审慎选择意向单位填报,应注意“第一意向单位”优先的原则;慎重选择是否“同意调剂”,如未选择视为不同意调剂。2022年第一批次招聘包括校园招聘和考试招聘,其中校园招聘已于2021年10月至11月开展;考试招聘按国家电网有限公司统一安排开展。本次公告内容主要针对考试招聘。国家电网有限公司人力资源招聘平台(以下简称“招聘平台”)是公司本批次招聘信息发布、应聘毕业生报名的唯一渠道。应聘毕业生在2021年12月20日前登录招聘平台填写个人信息报名。招聘平台网址:http://zhaopin.sgcc.com.cn国内毕业生:学籍在线验证报告(在学信网下载的PDF文件)、加盖学校公章的成绩单、毕业生就业推荐表、外语和计算机等级证书、个人获奖证书、应聘毕业生承诺书(见附件3)等材料原件的扫描件。研究生还须上传本科阶段毕业证、学位证、成绩单、学籍在线验证报告。国外留学生:应聘毕业生承诺书(见附件3)、教育部认证机构认证材料或“留学生声明”(见附件4)、成绩单(或课程表)及翻译材料(加盖翻译公司印章),如有国内本科教育学习经历的毕业生还需提供国内毕业证、学位证、成绩单、学籍在线验证报告。另如有学籍信息与申报不一致的请认真填写并上传“学籍信息声明”(见附件5)。(1)应聘毕业生请检查是否将“学籍在线验证报告”的“在线验证码”填至“学籍验证”项中。“学籍验证码”和上传“学籍在线验证报告”缺一不可,且保持“学籍在线验证报告”在招聘过程中未过期。(2)应聘毕业生在报名时填写的毕业时间须与“学籍在线验证报告”中预计毕业时间一致。(3)国(境)外留学生如有国内本科教育学习经历的,“学籍验证”项应填写国内本科教育学习经历的“学籍验证码”;如无,请填写“000000000000”。因学籍验证码和学籍在线验证报告不符合要求造成无法正常审核的,不予招录。我公司对应聘毕业生进行简历筛选和资格审查,对获得考试资格的人员,通过招聘平台、手机短信等方式进行通知。未获得考试资格的不再通知。公司根据国家电网有限公司统一安排(另行通知),组织通过资格审查的毕业生参加统一笔试,笔试具体时间以资格审查时通知为准。笔试仅能携带以下物品:身份证、准考证、2B铅笔、橡皮、签字笔、不带存储功能的计算器。笔试后,公司将组织通过笔试的毕业生参加面试,具体安排另行通知;面试需携带:身份证、准考证。未通过笔试的不再通知。公司根据笔试和面试成绩、结合各单位招聘指标和生源情况,确定拟录用人选,报国家电网有限公司核准,在招聘平台公示无异议后签订就业协议书。未录用的不再通知。同等条件,退役军人可优先录用。1.凡未在规定时间之前登录招聘平台进行报名,或者未准确、完整、真实填报个人信息并上传相关资料的,视同放弃本次应聘资格。我公司不欢迎已与其他单位达成就业意向的毕业生报名。2.应聘毕业生务必提供准确的联系电话并保持通信畅通,若联系电话发生变化,请及时登录招聘平台进行更新。因通信不畅造成的一切后果,由应聘毕业生本人承担。3.应聘毕业生在应聘过程中若存在“伪造、涂改学历学位及相关资格证书、获奖证明,修改所学专业名称、毕业学校,虚报在校成绩,应聘考试过程中作弊,隐瞒影响录用的疾病或病史,以及其他违反招聘纪律等情况”,将取消应聘及录用入职资格。4.应聘毕业生在招聘过程中上传所需的各类承诺书和声明书,务必由本人亲笔签名并盖手印,否则,将无法通过审核。5.我公司不举办也不委托任何机构、个人举办任何形式的培训班,不印售任何考试教材、复习资料、模拟题型等,任何针对我公司招聘笔试和面试的培训班、考试教材、复习资料等,均与我公司无关。6.我公司在招聘过程中不收取任何报名费、中介费、手续费、资料费等任何费用。请广大应聘毕业生提高警惕,防止上当受骗,如发现冒用我公司名义发布虚假信息的,可直接向当地公安机关报案。对应聘毕业生因虚假招聘造成的损失,我公司不承担任何责任。对于发布虚假招聘信息的个人和机构,我公司保留追究法律责任的权利。六、联系方式(只接受应聘毕业生本人来电咨询,仅限工作时间)






